01
产品简介
本公司针对感染性疾病研究者开发了全新的感染性疾病研究一站式解决方案。本方案利用高通量高分辨质谱仪大规模采集感染患者临床样本的蛋白质表达情况,结合机器学习识别指示感染性疾病诊断/预后/疗效的蛋白生物标志物,并通过探讨分子生物学功能、免疫通路、宿主病毒相互作用等揭示与感染性疾病发生发展高度相关的分子机制线索(点击阅读《蛋白质组学打开感染类疾病研究新思路》)。
我们会根据客户的科研想法提供专业的选题支持,并细化为可行的研究方案。客户只需要准备临床样本,之后我们将交付完整的检测数据、丰富的数据分析图表以及可直接用于论文发表的结果拼图和中英文方法学文案。同时我们在客户成文的过程中提供数据分析支持,为客户论文产出和科研成果转化的全流程保驾护航!
02
产品优势
(1)针对细分研究场景
(2)全流程支持
(3)数据结果丰富
(4)报告对标论文
03
报告结果示例
(1)差异表达蛋白和生物功能分析

对于不同组间蛋白质的表达水平,根据差异倍数与P值筛选出差异表达蛋白,通过火山图、主成分分析图和定量热图评估每组差异表达蛋白的聚类情况(图A-C)。基于GO、KEGG、DO数据库(图D),从多个层次对差异表达蛋白进行注释以及富集分析,展示差异表达蛋白富集到的功能条目以及信号通路等信息。
本结果用于展示组间差异表达蛋白的分析结果,通常选择两组间差异倍数和P值排名都靠前的蛋白或显著富集的功能条目,作为后续验证和功能探索的基础。
(2)关键蛋白筛选及变量相关性分析

利用Lasso回归进一步筛选差异表达蛋白(图A-B);单因素Logistic回归森林图展示单个蛋白与疾病之间的关联(图C);Pearson相关性分析热图矩阵呈现了Lasso筛选后的关键差异表达蛋白与临床变量的相关性及统计学显著性(图D)。
本结果展示了经Lasso回归筛选的差异表达蛋白与疾病以及临床变量之间的相关性。
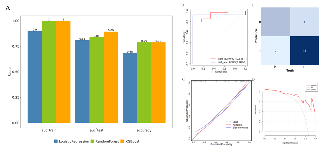
(3)机器学习建模及模型评价

Lasso回归筛选的候选标志物结合三种常用机器学习算法——Logistic回归、随机森林和极限梯度提升法(XGBoost),以随机组合的方式建立一系列预测模型,选择表现最好的算法和蛋白组合构建最终的预测模型(左图),通过区分度、校准度和临床效用对模型进行了全面的评价(右图)。
本结果展示了不同机器学习建模算法的比较分析、模型构建及评价的结果。此模型可用于所研究疾病的诊断或预后预测,也是后续研究中需要在新的独立队列中验证的关键模型。
(4)宿主-病毒相互作用网络分析

蛋白相互作用网络图基于STRING数据库,揭示了差异表达蛋白之间已知及可能存在的相互作用。若感染的病原体为病毒,可通过挖掘STRING Virus数据库,将病毒已知的互作蛋白也纳入蛋白互作网络中。图中每个节点为一个蛋白,节点之间的连线表示它们之间存在已知及可能的相互作用,节点颜色深浅反映该蛋白的组间差异倍数。
本结果展示了宿主蛋白与病原体蛋白之间的相互作用关系,突出重要的关键蛋白,为后续药物靶点筛选和感染机制研究提供了重要的线索和方向。
(5)免疫相关分析

基于MSigDB数据库中提供的C7基因集(图A和B)对差异表达蛋白进行基因集富集分析(GSEA);通过The Immunology Database and Analysis Portal(IMMPORT)免疫数据库(图C和D)对差异表达蛋白中的免疫蛋白进行KEGG富集分析,以探究免疫相关蛋白的信号通路。
本结果展示了GSEA分析和免疫蛋白通路分析的结果,对于其中显著富集的通路可开展进一步研究。
(6)组织特异性分析

挖掘HPA数据库,分析差异表达蛋白在所有组织和器官中的整体表达的相关性和每种组织类型的差异表达蛋白数量(图A),并通过和弦图展示差异表达蛋白组织分布和组织特异性的关系(图B)。
本结果基于HPA数据库展示差异表达蛋白在组织中的分布情况及特异性,后续可用于组织特异性蛋白筛选和蛋白质在多个组中的功能和调控机制研究。
(7)药物靶点筛选

基于药物-基因相互作用(DGIdb)数据库,对上调2倍以上的差异表达蛋白进行蛋白质-药物相互作用分析,对靶向单个或多个蛋白的药物进行标注,以箭头形式指示它们靶向的蛋白。
本结果基于DGIdb数据库展示了药物与差异表达蛋白的相互作用,为后续进一步研究药物作用机制奠定基础。
(8)疾病进程通路动态变化

通路动态变化是多组分析中所特有的,对各组与0h/疾病前期比较的差异表达蛋白进行KEGG富集分析,探究这些富集到的通路随着时间推移或疾病进展如何发生变化。
本结果揭示了疾病发展过程中通路的动态变化,有助于识别疾病进程中的关键节点和调控机制,对于理解感染性疾病的复杂生物学过程至关重要。
(9)趋势聚类分析

左侧的折线图表示通过趋势聚类分析将蛋白质聚为多个不同表达模式的蛋白簇,中间的热图展示了簇蛋白在各组中的表达量,右侧展示了各个簇的蛋白进行功能注释和富集分析后显著性排名前2的富集条目。
本结果为多组分析所特有,可直观展示同一表达模式的蛋白在组间的表达情况以及生物学功能。
04
产品服务
不同于提供质谱检测分析的常规定量蛋白质组学产品,本产品为一站式科研服务。针对客户的具体研究场景,提供从选题至论文撰写辅助的全流程服务,产品设计针对感染性疾病研究论文发表需求,增加了更有针对性、更丰富的分析内容,全面探究感染性疾病机制、发现感染性疾病生物标志物。
对于不同的样本量和组数,我们提供的分析项目如下方表格所示:

谱度众合是一家由武汉大学博士团队创办的科研服务企业,我们专注于利用质谱技术服务于生物标志物、药物靶点筛选、基础研究等蛋白质研究领域,我们在本专业细分领域持续深耕十几年,针对具体研究场景开发多种面向具体研究目的和论文发表需求的服务产品,助力于客户更轻松更高效的完成科研目标。
撰写人:郭静文
审稿人:刘宜子 肖宇琴





